Theory of Computational Complexity
Lecture in Turn
- (My turn) Chapter 8: The Deutsch’s Algorithm, Superdense Coding, and Teleportation [Slides]
- A lecture by Dr. Stephen Spicklemire from University of Indianapolis will help you on the topic of Deutsch’s Problem [URL]
Supplementary Materials:
-
Textbook: Quantum Algorithms via Linear Algebra by Richard J. Lipton and Kenneth W. Regan (Due to copyright, I don’t put a public link here, please inbox to get the decryption key for the ebook.pdf).
-
A series of videos to help you equip yourself with basic knowledge of quantum computing [URL] by Michael Nielsen
-
Basic Quantum gates

-
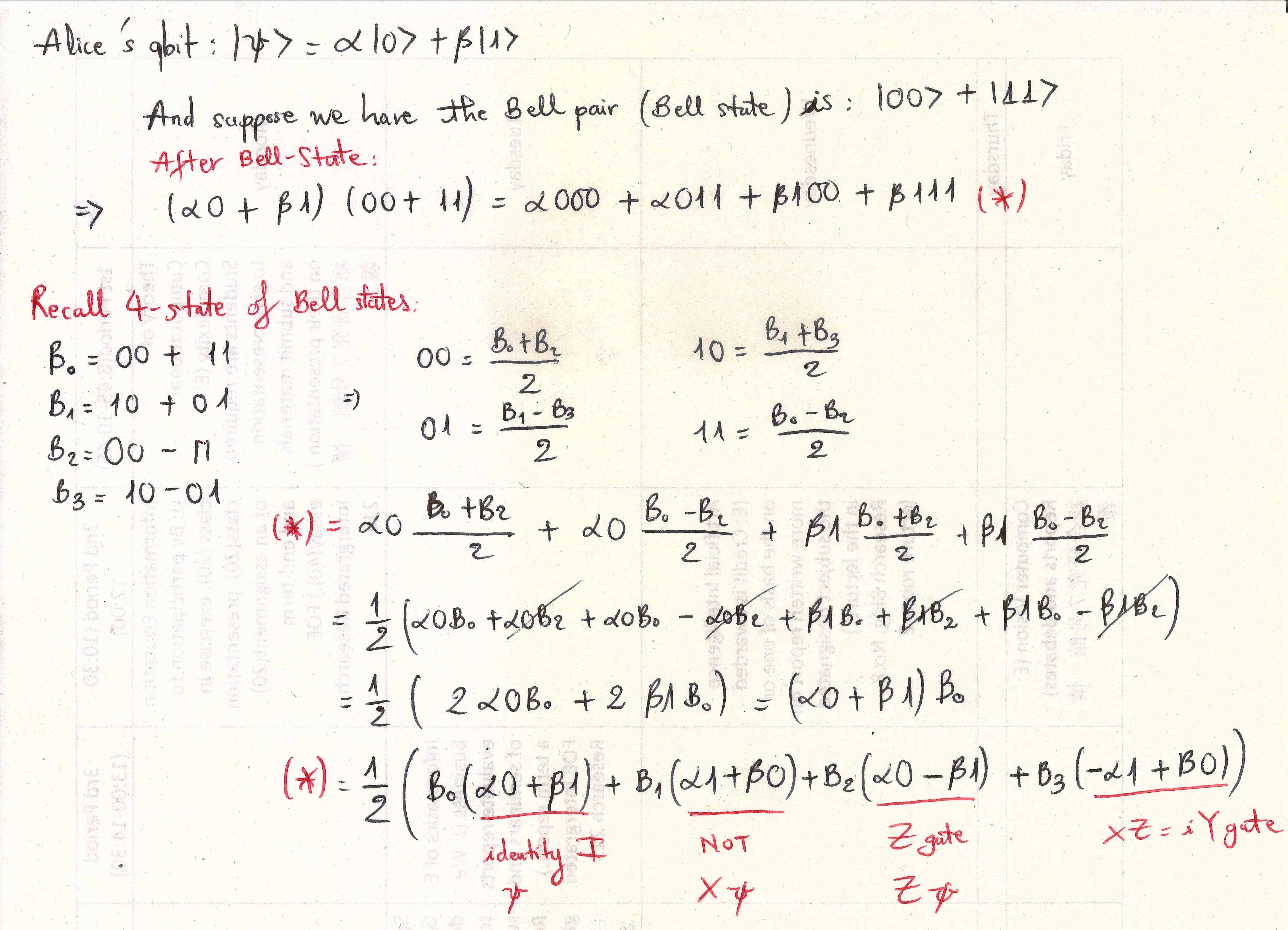
Proof of Teleportation

-
D-Wave Quantum Computer video